Traseu Maxi Taxi 550 Bucuresti Balotesti





Cum Să Ajungi La Stație Maxi Taxi In Balotesti Folosind Autobuz Moovit

Cum Să Ajungi La Stație Maxi Taxi In Balotesti Folosind Autobuz Moovit

Transport Primaria Corbeanca

Transport Primaria Corbeanca

Transport Primaria Corbeanca

Transport Primaria Corbeanca

Trasee Transport Maxitaxi

Trasee Transport Maxitaxi

Tram Club Romania Vizualizare Subiect Maxi Taxi Urile Din Bucuresti

Tram Club Romania Vizualizare Subiect Maxi Taxi Urile Din Bucuresti

Microbuzul Care Ii Duce Pe Navetisti Ca Pe Animale Intre Bucuresti Si Tunari Apartine Unui Consilier Judetean Psd De Ilfov Sotia Sa E Consilier Psd La Consiliul Local Voluntari Ce Avere Are

Microbuzul Care Ii Duce Pe Navetisti Ca Pe Animale Intre Bucuresti Si Tunari Apartine Unui Consilier Judetean Psd De Ilfov Sotia Sa E Consilier Psd La Consiliul Local Voluntari Ce Avere Are

Microbuzul Care Ii Duce Pe Navetisti Ca Pe Animale Intre Bucuresti Si Tunari Apartine Unui Consilier Judetean Psd De Ilfov Sotia Sa E Consilier Psd La Consiliul Local Voluntari Ce Avere Are

Trasee Transport Maxitaxi

Trasee Transport Maxitaxi

Adevarul De Buftea Programul Maxi Taxi Pe Ruta Buftea București și Retur Se Va Modifica Incepand Cu 1 Martie 2014

Adevarul De Buftea Programul Maxi Taxi Pe Ruta Buftea București și Retur Se Va Modifica Incepand Cu 1 Martie 2014

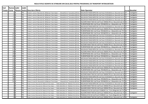
Rezultatele Atribuirii Din 28 02 2013 Pentru Cursele Din Programul De

Rezultatele Atribuirii Din 28 02 2013 Pentru Cursele Din Programul De

Forumul Metrou Ușor Traseele De Transport Public și Evoluția Mobilității In Bucuresti și Ilfov Discuții Despre Alte Trasee Din Ilfov Non R4xx

Forumul Metrou Ușor Traseele De Transport Public și Evoluția Mobilității In Bucuresti și Ilfov Discuții Despre Alte Trasee Din Ilfov Non R4xx

Rezultate Sedinta De Atribuire A Curselor Interjudetene Sedinta Din

Rezultate Sedinta De Atribuire A Curselor Interjudetene Sedinta Din

Forumul Metrou Ușor Traseele De Transport Public și Evoluția Mobilității In Bucuresti și Ilfov Discuții Despre Alte Trasee Din Ilfov Non R4xx

Forumul Metrou Ușor Traseele De Transport Public și Evoluția Mobilității In Bucuresti și Ilfov Discuții Despre Alte Trasee Din Ilfov Non R4xx

Planului General De Transport Al Municipiului Bucuresti

Planului General De Transport Al Municipiului Bucuresti

Forumul Metrou Ușor Traseele De Transport Public și Evoluția Mobilității In Bucuresti și Ilfov Discuții Despre Alte Trasee Din Ilfov Non R4xx

Forumul Metrou Ușor Traseele De Transport Public și Evoluția Mobilității In Bucuresti și Ilfov Discuții Despre Alte Trasee Din Ilfov Non R4xx

Două Noi Linii De Transport Public Din Bucuresti Spre Localități Din Ilfov

Două Noi Linii De Transport Public Din Bucuresti Spre Localități Din Ilfov

Trasee Transport Maxitaxi

Trasee Transport Maxitaxi

Rezultatele Atribuirii Din 28 02 2013 Pentru Cursele Din Programul De

Rezultatele Atribuirii Din 28 02 2013 Pentru Cursele Din Programul De

2

2

Rezultate Sedinta De Atribuire A Curselor Interjudetene Sedinta Din

Rezultate Sedinta De Atribuire A Curselor Interjudetene Sedinta Din

Contact

Contact

Source : pinterest.com